ISSN 0253-2778

CN 34-1054/N

open

Multiobjective optimization of morphologies and performance of Q355C gas metal arc welding based on the NSGA-Ⅱ

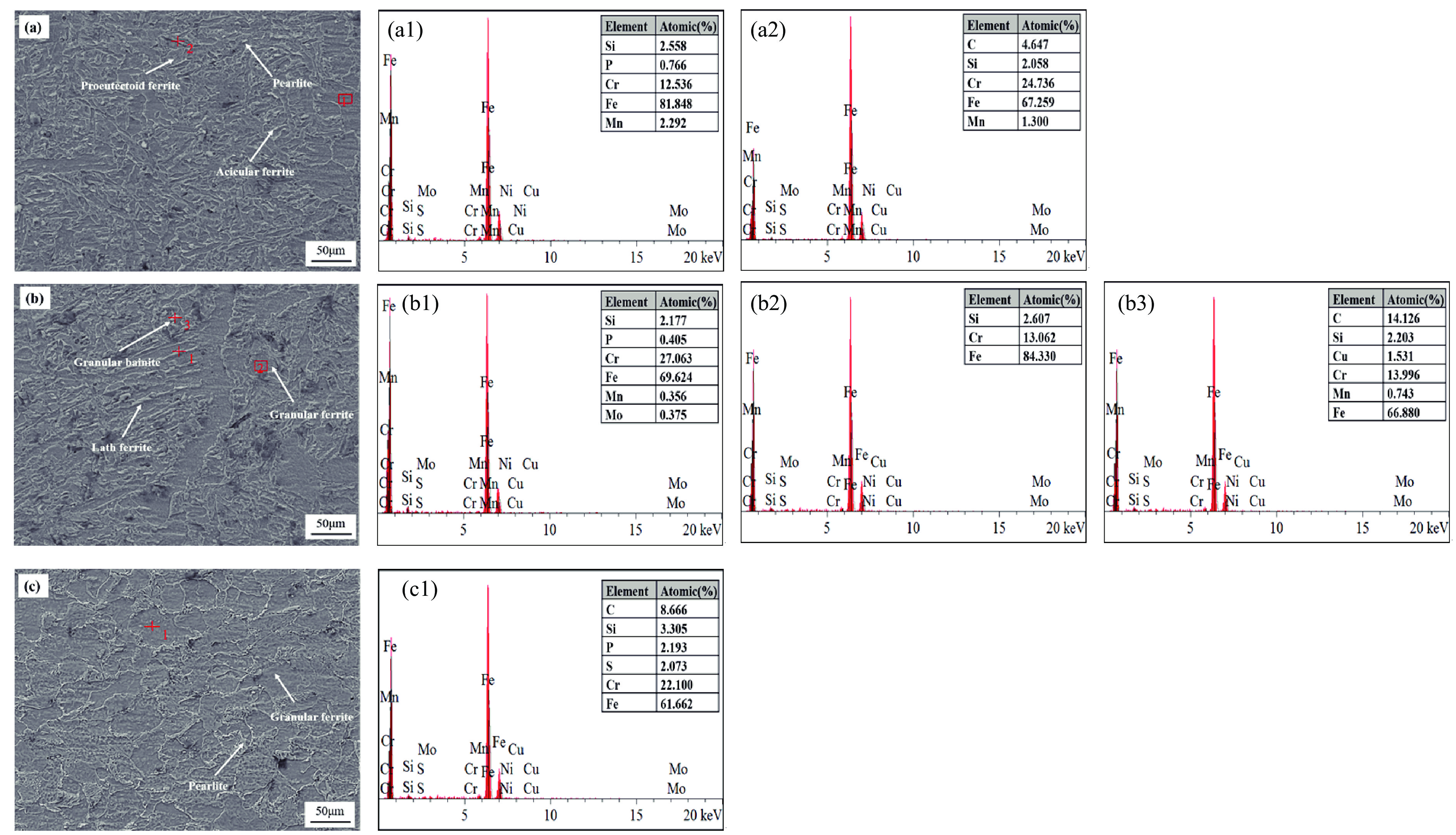
  • This work studied the influence law of gas-metal-arc welding process parameters on the morphologies and performance to improve the morphologies and performance. The mixed orthogonal surfacing test was carried out by taking the preheating temperature, welding voltage, current, speed, and wire extension as GMAW process parameters. The aspect ratio decreased with increasing welding voltage, and it first increased and then decreased with increasing welding current. The hardness increased with increasing preheating temperature and welding speed and decreased with increasing welding voltage, current, and wire extension. Residual stress increased with the increased preheating temperature. In addition, it first decreased and then increased with increasing welding voltage and speed. Based on the regression model, the nondominated sorting genetic algorithm II (NSGA-II) was used for multiobjective optimization. After that, experiments were conducted to verify the noninferior solutions among the aspect ratio, hardness, and residual stress. Errors between the predicted and experimental results by the three output indices were all less than 10%, indicating the feasibility of the optimization method. The research results provide a theoretical direction for multiobjective optimization and refined applications of arc welding.
  • loading

Catalog

    {{if article.pdfAccess}}
    {{if article.articleBusiness.pdfLink && article.articleBusiness.pdfLink != ''}} {{else}} {{/if}}PDF
    {{/if}}
    XML

    /

    DownLoad:  Full-Size Img  PowerPoint
    Return
    Return