ISSN 0253-2778

CN 34-1054/N

open

Learning attention-based strategies to cooperate for multi-agent path finding

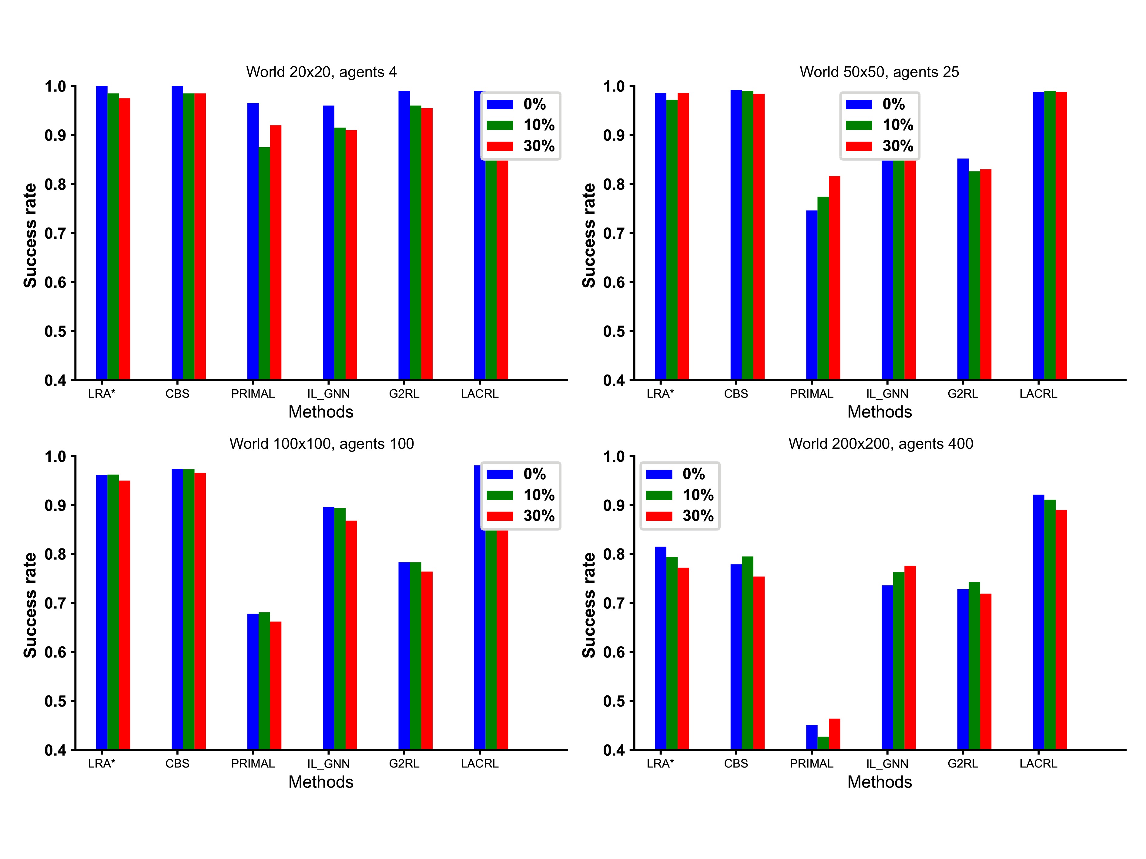
  • Multi-agent path finding (MAPF) is a challenging multi-agent systems problem where all agents are required to effectively reach their goals concurrently with not colliding with each other and avoiding obstacles. In MAPF, it is a challenge to effectively express the observation of agents, utilize historical information, and effectively communicate with neighbor agents. To tackle these issues, in this work, we proposed a well-designed model that utilizes the local states of nearby agents and outputs an optimal action for each agent to execute. We build the local observation encoder by using residual attention CNN to extract local observations and use the Transformer architecture to build an interaction layer to combine local observations of agents. With the purpose of overcoming the deficiency of success rate, we also designed a new evaluation index, namely extra time rate (ETR). The experimental results show that our model is superior to most previous models in terms of success rate and ETR. In addition, we also completed the ablation study on the model, and the effectiveness of each component of the model was proved.
  • loading

Catalog

    {{if article.pdfAccess}}
    {{if article.articleBusiness.pdfLink && article.articleBusiness.pdfLink != ''}} {{else}} {{/if}}PDF
    {{/if}}
    XML

    /

    DownLoad:  Full-Size Img  PowerPoint
    Return
    Return