ISSN 0253-2778

CN 34-1054/N

open

A feature transfer model with Mixup and contrastive loss in domain generalization

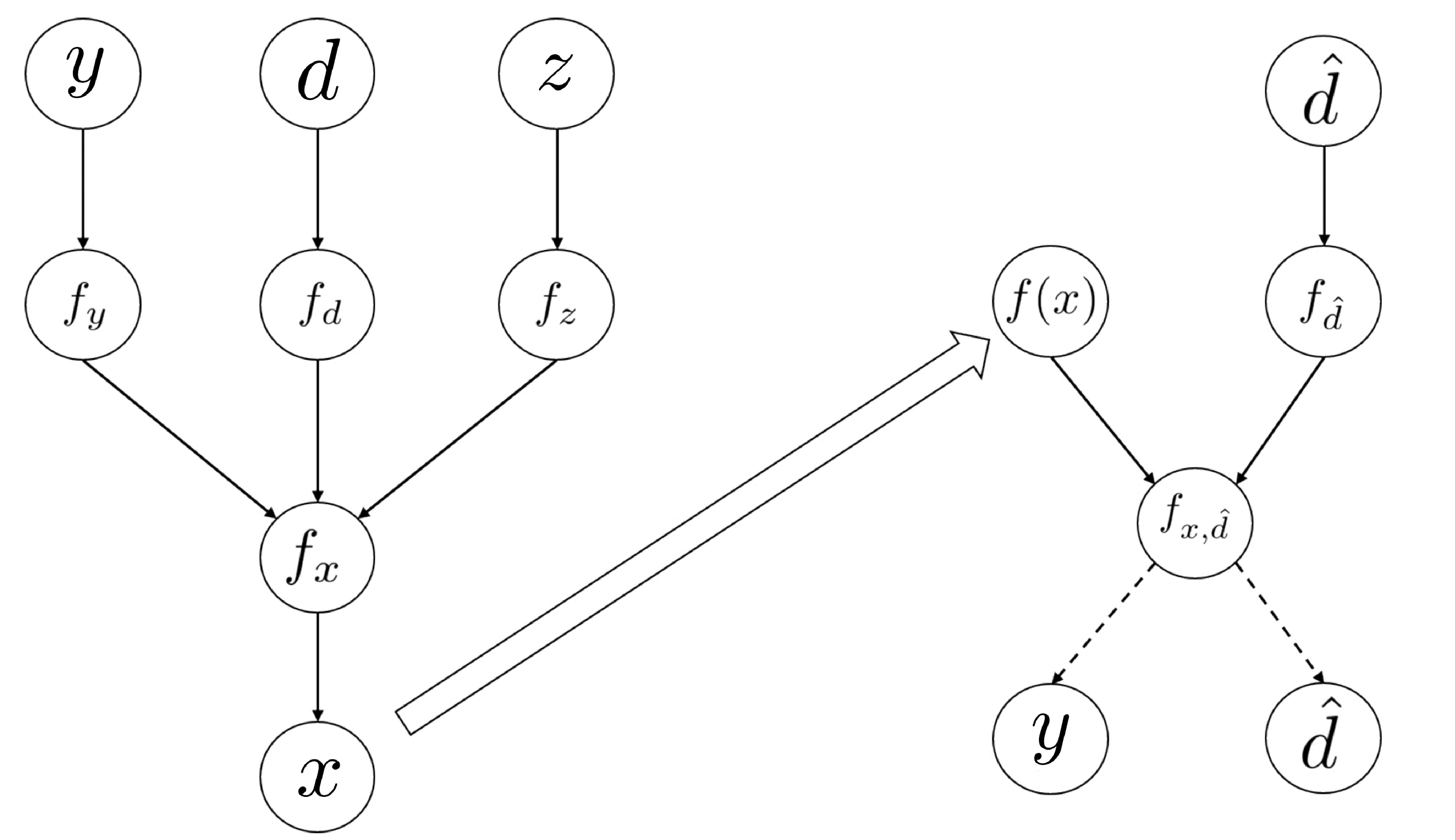
  • When domains, which represent underlying data distributions, differ between training and test datasets, traditional deep neural networks suffer from a substantial drop in their performance. Domain generalization methods aim to boost generalizability on an unseen target domain by using only training data from source domains. Mainstream domain generalization algorithms usually make modifications on some popular feature extraction networks such as ResNet, or add more complex parameter modules after the feature extraction networks. Popular feature extraction networks are usually well pre-trained on large-scale datasets, so they have strong feature extraction abilities, while modifications can weaken such abilities. Adding more complex parameter modules results in a deeper network and is much more computationally demanding. In this paper, we propose a novel feature transfer model based on popular feature extraction networks in domain generalization, without making any changes or adding any module. The generalizability of this feature transfer model is boosted by incorporating a contrastive loss and a data augmentation strategy (i.e., Mixup), and a new sample selection strategy is proposed to coordinate Mixup and contrastive loss. Experiments on the benchmarks PACS and Domainnet demonstrate the superiority of our proposed method against conventional domain generalization methods.
  • loading

Catalog

    {{if article.pdfAccess}}
    {{if article.articleBusiness.pdfLink && article.articleBusiness.pdfLink != ''}} {{else}} {{/if}}PDF
    {{/if}}
    XML

    /

    DownLoad:  Full-Size Img  PowerPoint
    Return
    Return